【導讀】在開關電源的設計中電感的設計為工程師帶來的許多的挑戰。工程師不僅要選擇電感值,還要考慮電感可承受的電流,繞線電阻,機械尺寸等等。本文專注于解釋:電感上的DC電流效應。這也會為選擇合適的電感提供必要的信息。
理解電感的功能
電感常常被理解為開關電源輸出端中的LC濾波電路中的L(C是其中的輸出電容)。雖然這樣理解是正確的,但是為了理解電感的設計就必須更深入的了解電感的行為。
在降壓轉換中(Fairchild典型的開關控制器),電感的一端是連接到DC輸出電壓。另一端通過開關頻率切換連接到輸入電壓或GND。

在狀態1過程中,電感會通過(高邊 “high-side”)MOSFET連接到輸入電壓。在狀態2過程中,電感連接到GND。由于使用了這類的控制器,可以采用兩種方式實現電感接地:通過 二極管接地或通過(低邊“low-side”)MOSFET接地。如果是后一種方式,轉換器就稱為“同步(synchronus)”方式。
現在再考慮一下在這兩個狀態下流過電感的電流是如果變化的。在狀態1過程中,電感的一端連接到輸入電壓,另一端連接到輸出電壓。對于一個降壓轉換器,輸 入電壓必須比輸出電壓高,因此會在電感上形成正向壓降。相反,在狀態2過程中,原來連接到輸入電壓的電感一端被連接到地。對于一個降壓轉換器,輸出電壓必 然為正端,因此會在電感上形成負向的壓降。
我們利用電感上電壓計算公式:
V=L(dI/dt)
因此,當電感上的電壓為正時(狀態1),電感上的電流就會增加;當電感上的電壓為負時(狀態2),電感上的電流就會減小。通過電感的電流如圖2所示:

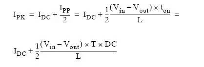
通過上圖我們可以看到,流過電感的最大電流為DC電流加開關峰峰電流的一半。上圖也稱為紋波電流。根據上述的公式,我們可以計算出峰值電流:

其中,ton是狀態1的時間,T是開關周期(開關頻率的倒數),DC為狀態1的占空比。
警告:上面的計算是假設各元器件(MOSFET上的導通壓降,電感的導通壓降或異步電路中肖特基二極管的正向壓降)上的壓降對比輸入和輸出電壓是可以忽略的。
如果,器件的下降不可忽略,就要用下列公式作精確計算:
同步轉換電路:

異步轉換電路:

其中,Rs為感應電阻阻抗加電感繞線電阻的阻。Vf 是肖特基二極管的正向壓降。R是Rs加MOSFET導通電阻,R=Rs+Rm。
電感磁芯的飽和度
通過已經計算的電感峰值電流,我們可以發現電感上產生了什么。很容易會知道,隨著通過電感的電流增加,它的電感量會減小。這是由于磁芯材料的物理特性決 定的。電感量會減少多少就很重要了:如果電感量減小很多,轉換器就不會正常工作了。當通過電感的電流大到電感實效的程度,此時的電流稱為“飽和電流”。這 也是電感的基本參數。
實際上,轉換電路中的開關功率電感總會有一個“軟”飽和度。要了解這個概念可以觀察實際測量的電感Vs DC電流的曲線:

當電流增加到一定程度后,電感量就不會急劇下降了,這就稱為“軟”飽和特性。如果電流再增加,電感就會損壞了。
注意:電感量下降在很多類的電感中都會存在。例如:toroids,gapped E-cores等。但是,rod core電感就不會有這種變化。
有了這個軟飽和的特性,我們就可以知道在所有的轉換器中為什么都會規定在DC輸出電流下的最小電感量;而且由于紋波電流的變化也不會嚴重影響電感量。在 所有的應用中都希望紋波電流盡量的小,因為它會影響輸出電壓的紋波。這也就是為什么大家總是很關心DC輸出電流下的電感量,而會在Spec中忽略紋波電流 下的電感量。
推薦閱讀:






