【導讀】在博文Measuring Resistances Less Than 1Ohm[1] 中介紹了一種簡便精確測量低阻器件的方法。通常情況下,一些器件的導通電阻非常小,比如低阻值的測電流電阻、導線電阻、開關電阻、保險絲、繼電器以及點火器等等。下面給出了一些這樣低阻值器件示例。
通常使用的萬用表(無論是指針式還是數字式)當測量低于一歐姆電阻的時候就不準確了,甚至有的萬用表對于小于10歐姆的電阻讀數都有很大的跳動。這種情況,需要借助于四線低阻值歐姆表來精確測量。實際上,只要你的萬用表可以精確測量到毫伏直流電壓,便可以相當準確的測量低阻值電阻了。

▲ 一些低阻值的器件
01 測量方案
測量低阻器件所需要的設備:
● 可以測量V,mV和電阻的數字萬用表;
● 220歐姆的電阻,或者其它阻值相近的電阻;
● 5V穩壓電源(交流適配器,臺式電源,或者7805穩壓電路)
● 0.1uF, 10uF電容,以及面包板。
5V電源需要在測量過程中保持恒定,否則就會影響測量的精度。實際上,大部分帶有穩壓功能的電源都可以滿足要求。
● 測量時,電路需要保持穩定,沒有開關打開和閉合的動作;
● 使用不同尺寸和容量的電容來平滑工作電壓;
● 選擇22mA左右的工作電流,不要超過100mA,也不要小于5mA。
至于工作電壓本身的準確性倒是不影響測量精度,任何在4.5V~5.5V范圍內,只要保持恒定都能夠得到不錯的測量結果。

▲ 測量低阻值器件電路示意圖
● 電源的+5V和GND連接到面板包的頂部和底部的雙槽內;
● 上下各使用C1(0.1uF), C2(10uF)來對工作電源濾波;
● R1(220歐姆)是已知的電阻,連接在+5V和R2上;
● R2是被測低阻值電阻,連接R1至GND;
實際上上面的電路是一個簡單的電壓分壓電路,流經R1,R2的電流相同。當測量R1,R2兩端電壓之后,便可以知道R2與R1的比值,進而可以計算出R2的阻值了。
上面是將被測電阻R2直接插在面包板上進行測量??梢允褂明{魚嘴夾將R2引出面包板,并且可以測量其他器件(引線、表貼器件、點火器等)。
02 已知電阻
在前面測量方案中,R1是已知電阻。最好選用大功率、低溫漂系數的電阻。通常情況下5%精度的電阻就可以滿足要求。
根據歐姆定律,5V電壓施加在220歐姆的電阻上,會產生0.114W(1/10W)的功率,形成熱量消耗在R1上。當R1溫度升高后,對于低溫度系數(小于±50ppm)的阻值變化小于普通電阻(溫度系數大于±100ppm)。所以,使用大功率(保證其溫度變化?。蜏囟认禂档姆€定電阻R1是提高測量精度的關鍵。
選用1/2W的金屬膜1%精度的220歐姆,溫度系數為50ppm,或者3W,20ppm,220歐姆的繞線電阻都可以滿足測量的需求。下面的測量實驗中,采用了及其普通的5% 1/4W,350ppm,220Ω的碳膜電阻。
在將R1插入面包板之前,使用萬用表測量它的阻值。不要在R1插到面包板之后再測量,這樣會使得讀數不準。

▲ 使用萬用表讀出R1的阻值
實際上,只要讀數穩定,至于具體電阻的數值是多少并不會影響最終的測量結果。通常保證該阻值在200~240之間即可。
將測量的結果記錄下來之后,再把R1接入面包板。
03 測量樣品
為了驗證測量電路的原理和測量過程的正確性,可以先從能夠被萬用表電阻精確測量的電阻測試起。比如可以先使用一個10歐姆的電阻作為R2進行測量。
打開5V電源,測量R1兩端電壓,比如在這里它的讀數為4.7696V。

▲ 測量R1兩端電壓:4.7696V
由于R1比R2的阻值(10歐姆)大得多,所以在R1上的電壓比較大,應該大于4.5V。
接著,測量R2兩端電壓,這個電壓通常小于0.5V。所示選擇萬用表直流電壓的毫伏檔來測量。如果使用普通的伏特檔位來測量,可能所獲得電壓數值精度會降低。大多數數字萬用表都會包含有毫伏和伏特兩個檔位。
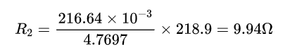
比如在下面的測量中,R2上的電壓為216.64mV。

▲ 使用毫伏檔位測量未知電阻R2上的直流電壓
根據上面測量結果可以計算出R2的阻值。

這個結果符合實際情況。剛才測量的R2是一個5%精度的電阻,也就是說它的阻值應該在9.5~10.5歐姆之間。

▲ 直接使用萬用表測量R2的阻值
如果直接使用萬用表的電阻檔,可以測量R2的阻值為9.9Ω,這與前面測量的結果相當的符合。
04 測量一些常見的低阻值器件
使用上述方法對本文一開始圖中的低阻值器件進行測量。這些低阻值器件中有些已經是毫歐級別的電阻,使用萬用表根本無法讀出有效的阻值。
在測量的時候,測量R2電壓的時候盡可能靠近器件管腳的根部,否則就會使得測量得到的電阻包含了器件引腳的電阻了。下面是測量的一些結果:

可以看到所有測量結果都在實際期望阻值范圍內。
05 改進
將R1更換成更大功率更加穩定的繞線電阻,可以大大提高測量阻值的數量。在測量過程中,保持環境溫度的穩定性也很重要。比如在白天高溫下,和晚上低溫下測量器件的阻值會相差1%左右。
對于碳膜電阻,具有較大的溫度系數。在不同的溫度下阻值相差較大。
為了提高測量精度,最好:
● 使用更高功率,低溫度系數的電阻作為R1;
● 在測量前,最好等待兩分鐘使得測量器件達到熱平衡,組織穩定后在進行測量。

▲ 大功率低溫度系數的繞線電阻
對于大功率、低溫度系數的電阻在通常室溫范圍內,220歐姆的阻值通常變化不超過十分之一歐姆。
參考資料
[1] Measuring Resistances Less Than 1Ohm: https://www.robotroom.com/Measuring-Low-Resistances.html
推薦閱讀:




