【導讀】削弱電磁干擾 (EMI) 是所有電子系統中存在的問題。許多規范將電磁兼容性 (EMC) 與適應規定屏蔽下干擾功率譜級的能力相關聯,恰恰證明了這一點 [1]。尤其是高頻開關 DC/DC 轉換器,開關換向過程中存在的高轉換率電壓和電流可能在穩壓器自身(EMI 源)以及附近的敏感電路(受 EMI 干擾的設備)中產生嚴重的傳導和輻射干擾。本系列文章 [1-8] 的第 5 部分和第 6 部分回顧了多種適用于非隔離穩壓器設計的 EMI 抑制技術。第 7 部分和第 8 部分回顧了隔離設計中的共模 (CM) 噪聲及其抑制技術。
一般而言,遵守電磁標準對于開關電源愈發重要,這不僅局限于總光譜能量過大,更多的原因是能量集中在基本開關頻率及其諧波的特定窄帶中。為此,第 9 部分提出通過擴頻調頻 (SSFM) 技術將頻譜能量分配到頻譜中,使基波和諧波噪聲峰值幅值變得平整。圖 1 所示的擴頻效應可作為本系列文章前幾部分中介紹的 EMI 抑制技術的補充降噪方法。

圖 1:擴頻效應
擴頻調制
本系列文章第 5 部分和第 6 部分中探討的 EMI 抑制技術重點關注減小天線因子,實現方式為謹慎使用高轉換率電流 (di/dt) 回路布局以及采用適當的緩沖電路和柵極驅動電路設計來避免劇烈的瞬態電壓 (dv/dt)。這些方法通過降低總功率來調整傳導噪聲和/或輻射噪聲功率頻譜的形狀,主要對高頻有效,對于低頻的作用效果可能較為有限。
相反,1992 年首次針對 DC/DC 轉換器提出的擴頻調制(也稱為抖動)[9] 希望在不影響總噪聲功率的前提下針對傳導和輻射干擾功率譜的形狀進行調整。通過在時域中對基準時鐘信號進行頻率調制 (FM),會根據調制信號在頻域中對基波和諧波分量進行掃頻 [9-14]。如圖 1 所示,每個諧波均轉化為若干個幅值較小的邊帶諧波。噪聲頻譜從大頻譜峰值集中在開關頻率及其諧波處的一系列頻譜變為更加平緩、峰值更小并且更加連續的頻譜。
從實際 EMC 的角度來看,當窄帶 EMI 源的信號頻率與受 EMI 干擾的敏感頻率范圍相匹配時,可在給定時間窗口內傳輸大量功率,受 EMI 干擾的設備受到干擾或發生故障的概率隨之增大。如果將 EMI 源信號擴展到大于受 EMI 干擾設備的敏感帶寬,耦合到受干擾設備的噪聲功率隨之減小,從整體改善 EMI 性能和可靠性。
周期性調制函數
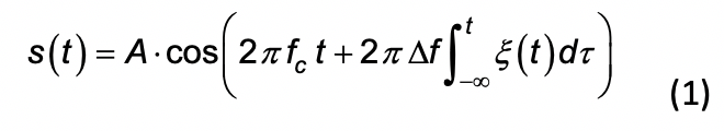
周期性擴頻調制技術的主要作用是將各諧波擴展到預設頻段,降低峰值幅值并減弱 EMI 水平。在這一背景下,公式 1 提供了通過擴頻調制對正弦載波進行調頻的一般分析表達式:

其中 A 是未調制信號的幅值,fc 為載波頻率,Δf 是頻率偏差。
歸一化周期調試函數為 ξ(t),反映了擴頻的頻率變化。表 1 列出了正弦波、三角波和指數(也稱為三次方或“好時之吻”)調制曲線 [10] 的數學表達式。其中,kT 是三角波曲線的對稱指數,取值范圍為 0 到 1,p 用于指定指數曲線的凹度系數。如果 kT 為 0.5,則三角波曲線具有對稱的三角形圖案。

表 1:正弦波、三角波和指數調制曲線,其中 fm 和 Tm 分別為調制信號頻率和周期
圖 2 所示為采用 10kHz 調制頻率的正弦波、三角波和指數調制信號。圖中還可以看出,通過調制 100kHz 正弦載波信號得出的相應擴頻結果與公式 1 一致。每個圖象的頂部均指出明顯的瞬時載波工作頻率。

圖 2:fc = 100 kHz、Df = 50 kHz、fm = 10 kHz、kT = 0.5 和 p = 70 kHz 時的正弦波 (a);三角波 (b) 和指數 (c) 調制曲線
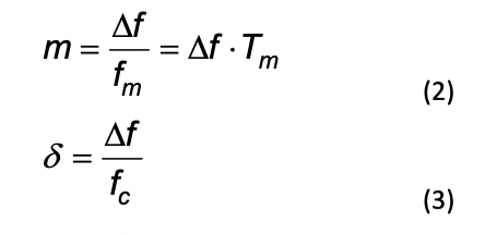
其它相關項分別為公式 2 和 3 得出的調制系數與調制比:

s(t) 的總功率等于 A2 / 2。根據卡森帶寬規則,總功率使用擴頻技術分配,即擴頻后的能量有 98% 包含在公式 4 中給出的帶寬 B 中(請參見圖 1):
對于更為復雜的波形,比如開關節點電壓波形或 DC/DC 轉換器的輸入電流波形,更改瞬時頻率相當于對傅里葉級數展開的每個構成諧波應用公式 1。唯一的區別在于會將第 n 次諧波在 n 倍卡森帶寬(由公式 5 得出)的帶寬范圍內進行擴頻。
s(t) 頻譜的實際形狀由 Df 和 ξ(t) 決定。如果 ξ(t) 是周期為 Tm 的周期函數,則 s(t) 的頻譜呈離散狀態,這意味著可將信號分解為一系列頻率為 fc ± k/Tm 的正弦音調,每個信號的幅值為 Ak。可通過貝塞爾函數計算正弦調制的 Ak [9,10],而三角波調制的頻譜形狀已通過 Matlab 仿真進行評估 [11]。
真正連續的功率頻譜只能通過非周期調制函數獲得(如使用混沌序列發生器或隨機序列發生器獲得),并通過功率頻譜密度進行描述。與周期擴頻技術相反,非周期調制測得的頻譜形狀與測量儀器的分辨率帶寬 (RBW) 設置無關 [15,16]。下一節將探討 RBW 對于 EMI 測量的影響。
雖然正弦擴頻技術更易于分析和實現,但無法獲得最佳頻譜形狀并且諧波衰減未達到最大程度。如圖 3 所示,調制波形頻譜中的能量趨向于集中在調制波形中時間導數較小、靠近正弦波形波峰和波谷的各點對應的頻率。另一方面,指數調制函數具有最平坦的頻譜,可針對靠近卡森帶寬兩端出現的二階效應而產生的峰值進行補償,進一步減小 EMI。然而,指數波形在實踐中難以實現,通常需要復雜的失真電路或查詢表。

圖 3:正弦波 (a)、三角波 (b) 和指數 (c) 調制曲線及頻域特性
線性三角形調制代表圖 3 所示的調制曲線之間已達到良好的折中,很容易在模擬和數字域中實現。通過選擇經過優化并且正確定義的三角波驅動信號頻率,最大限度地降低測得的 EMI 頻譜的峰值,可以為汽車等大批量、成本優化型應用提供穩健的設計。
通過擴頻優化 EMI 抑制
國際規定要求使用 EMI 接收器進行測量。EMI 接收器的本質是額外配備一些輸入濾波器的模擬頻譜分析儀。鑒于測量 EMI 的超外差頻譜分析儀的復雜性 [16](特別是解調包絡檢波器和峰值/準峰值/平均值檢波器的非線性),[11] 中的研究人員使用 EMI 接收器的 Matlab 模型,通過基于三角波調制的擴頻技術計算降低的 EMI,從而得出三角波擴頻的優化曲線。舉例來說,圖 4 提供的噪聲級下降曲線基于多個頻率偏差值 Df,均為 EMI 接收器 RBW 設置的倍數。請注意,如果 m 超出某一特定值,EMI 抑制性能隨之下降。

圖 4:與不同 RBW/Df 比的 EMI 接收器響應相一致的三角波調制功率頻譜噪聲級下降,其中固定 Df 并改變 fm 時,調制系數會發生變化。0dB 基準是未調制的情況
選擇調制擴頻參數 Df 和 fm 時,需要在兩方面進行權衡。首先,Df 應足夠大,減小 EMI 測量值并降低易受 EMI 影響的設備所受的干擾。例如,為了避免在 AM 無線頻段內產生干擾,汽車 DC/DC 穩壓器通常使用外部電阻將自由運行的開關頻率設置為 2.1 MHz(容差為 5%-10%)。為了在 1.6 MHz 的最大 AM 頻段中以足夠的裕度運行,合理的方法是在 100kHz 至 150kHz 的范圍內使用 Df 進行中心擴頻調制,可避免對穩壓器輸出電壓紋波幅值和效率性能造成過大干擾。
確定 Df 后,優化 EMI 性能的附加自由度取決于所選調制頻率。根據圖 4,調制系數 m 應具備一個適宜的中間值,大到可提供 EMI 衰減,同時小到 RBW 帶通濾波器的時域效應不適用。具體而言,如果 fm 過低,瞬時干擾信號頻率處于 RBW 濾波器響應時間內的時間間隔會增大。信號長時間以未調制狀態出現在測量窗口中,可以有效測量未調制信號的幅值。這種短期時域效應同樣應用于易受 EMI 干擾的電路及其敏感頻段。
因此,在規定頻率范圍內使用指定 EMI 測量設置時,為了正確估計擴頻技術的影響,務必考慮時域特性。例如,針對汽車應用的國際無線電干擾特別委員會 (CISPR) 25 等規定要求,在 150kHz 至 30MHz 以及 30MHz 至 1GHz 的頻段進行測量時,RBW 設置應分別為 9kHz 和 120kHz。按照經驗法則,如果將 fm 設置為與要求的 RBW 相近,則 EMI 接收器能夠獨立測量各個邊帶諧波,使測量結果與預期計算值相符。
實踐案例研究
圖 5 為使用兩個雙相可堆疊控制器的四相同步降壓穩壓器電路 [17] 示意圖。控制器采用多種功能降低 EMI,包括恒定開關頻率操作、外部時鐘同步以及通過分離各電源開關的柵極驅動輸出實現開關節點整形(轉換率控制)。
控制器工作時使用的電阻可調節開關頻率高達 2.2MHz,進行外部同步后可達 2.5MHz。SSFM 可通過以下三種方法進行配置:
● 使用控制器的外部同步 (SYNCIN) 輸入,施加采用所需調制技術的頻率信號。
● 通過電阻將調制信號與 RT 引腳耦合。
● 使用 DITH 引腳上的電容設置調制頻率,然后使用內置的 ±5% 三角波擴頻(抖動)函數。

圖 5:采用三角波擴頻調制的四相同步降壓穩壓器示意圖
給定的標稱開關頻率為 2.1MHz,使用集成擴頻功能時的頻率偏差 Δf 為 5% 或 105 kHz。EMI 接收器使用頻率為 9kHz 的 RBW 濾波器,在 150kHz 至 30MHz 的范圍內進行測量。頻譜分析儀中的 EMI 濾波器帶寬通常設定為 -6dB、具有四極并且波形接近高斯形狀 [16],因此應用校正因數后,9kHz RBW 濾波器的 -3dB 有效帶寬認定為約 6kHz。基于與圖 4 相似的優化曲線,使用公式 5 計算歸一化分辨率,可得出優化的調制系數約為 10:

此后,通過公式 6 推導出所需的調制頻率:

圖 6 顯示的是啟用和禁用擴頻后的開關節點電壓波形(使用圖 5 中的穩壓器測量)。圖 6b 中的波形范圍恒定不變,展示開關頻率的變化情況。

圖 6:禁用 (a) 和啟用 (b) 擴頻后的開關節點電壓波形 (VIN = 13.5 V,VOUT = 5 V,IOUT = 20 A)
圖 7 所示為在 10 kHz 處設置三角波調制后,在 150kHz 至 30MHz 的范圍內測得的圖 5 中穩壓器的傳導輻射。使用 Rohde & Schwarz 的頻譜分析儀,所得檢測器掃描結果的峰值和平均值分別以黃色和藍色表示。測量結果符合 CISPR 25 5 類 的要求。紅色的限值線對應 CISPR 25 5 類的峰值限值和平均限值(峰值限值通常比平均限值高出 20dB)。

圖 8:禁用 (a) 和啟用 (b) 擴頻后,CISPR 25 5 類的傳導輻射結果(150kHz 至 30MHz)
總結
對于較為擁擠的電磁波譜,開關電源是導致電磁環境惡化的關鍵因素。擴頻技術改變傳導和輻射干擾功率譜的形狀,降低峰值輻射水平,從而符合國際 EMC 規定的要求。選用經過優化的調制頻率可實現一種系統級解決方案,其封裝和體積更小,同時降低固有成本并提升功率密度。
免責聲明:本文為轉載文章,轉載此文目的在于傳遞更多信息,版權歸原作者所有。本文所用視頻、圖片、文字如涉及作品版權問題,請聯系小編進行處理。
推薦閱讀:





