【導讀】針對半導體激光二極管由束散角大(14°~46°)導致的激光功率密度在傳播過程中不斷衰減的問題,提出了一種提高激光功率密度的光束整形方法。
首先以X型柱面平凸透鏡和Y型柱面平凸透鏡對激光二極管輸出光束慢軸和快軸方向進行準直,然后通過一對平凸透鏡組合進行擴束,進一步提高光束平行度,最后由單片平凸透鏡將光束聚焦為高功率密度的光點。采用Light Tools軟件仿真光路、優化光學元件參數,對光學元件進行實際選型后安裝并調試光束整形系統。測試結果表明:半導體激光二極管輸出光束的67%激光能量匯聚于直徑1mm圓內,激光功率密度優于30W/cm2。
0 引言
半導體激光二極管(LD)出射光線單色性好、功率高、結構簡單、重量輕,被應用于軍事、工業制造以及航天航空等領域。LD出射光束光軸不對稱且存在束散角,橫截面光強分布滿足高斯分布,需對輸出光束進行整形。
LD光束整形技術根據光線傳播方式主要分為三類:折射法、反射法、衍射法。折射法通過調節透鏡曲率半徑改變折射光束與入射光束的夾角實現光束整形。赫瑞瓦特大學Howard J Baker采用單透鏡對光束進行整形,將單透鏡表面加工為曲面形狀。經單透鏡折射,出射光束橫截面形狀成為正方形或長條形,該方法適用于高強度的現代光纖激光器。反射整形法借助全反射光學元件對光束在快軸、慢軸方向上的寬度進行調整。南安普頓大學光電研究中心Clarkson等人提出采用兩個高反平面鏡實現快、慢兩個方向光束質量因子的均衡,將光束按照鏡間錯位距離分割、分段重排。然而,該方法使得光束在整形器中傳播時相鄰光束會發生部分重疊,對亮度提高有限制。衍射整形法可實現光束能量的均勻分布,具備更大的自由度,二元光學元件設計靈活、對波前控制更為精確。中國科學院長春光學精密機械與物理研究所劉華使用衍射光學元件調制光束的振幅和相位,對單片折射透鏡進行離子刻蝕,使之成為折衍混合元件,實現光束的整形和聚焦。
光束整形技術改變激光束散角,使光束具備準直特征。然而在工業制造或科學研究如晶圓激光切割、激光打孔、激光增材制造、物質受激輻射研究中,需要對整形光束進一步聚焦,使激光功率密度提高至每平方厘米幾十甚至上百瓦。
反射和衍射方法存在加工周期長、成本高、系統結構復雜、裝調精度難以控制等問題,而折射整形光學元件光能轉換效率高、結構簡單。因此,文中基于折射法設計了先準直、擴束、再聚焦的提高光束功率密度的方法,并搭建實際光學系統進行驗證。
1 LD光束特性及質量評價
1.1 LD光束特性
LD出射光束為高斯光束,其腰斑半徑在光軸方向總大于一個最小值,該最小值被稱為束腰半徑ω0,將其對應的位置z=0定義為束腰位置。
高斯光束波前的曲率半徑在z軸方向上的分布滿足:

對于給定波長λ的LD,其腰斑半徑在z軸方向上的分布滿足:

此時光束包絡線近似為斜率的直線,其與z軸的夾角θ=λ/πω0為LD的束散角。
LD光束橫截面示意圖如圖1所示,光束在快軸(垂直于結平面)和慢軸(平行于結平面)方向以不同束散角出射,其橫截面近似為橢圓形。

圖1 激光二極管出射光束橫截面形狀
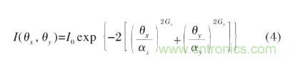
光束沿傳播方向上的強度分布可表示為:

式中:I0為z軸上光強;θx和θy分別是光束與x-z面和y-z面夾角;αx和αy分別為x和y方向上高斯強度1/e2點的遠場束散角;Gx和Gy分別是x和y方向上的“超級高斯因子”,其值為1時,是典型的高斯分布。對于實際LD,其快軸和慢軸方向上的超高斯因子Gx和Gy均大于1,表征實際輸出的激光束中除基模外還包含其他的高階模分量。
1.2 光束質量評價
斯光束的束散角與束腰半徑的乘積即光參量乘積Bpp,滿足:
式中:Bpp在光學成像系統中為不變量,光束的束腰寬度ω0與束散角θ為反比關系。
國際標準組織(ISO)采納光束質量因子M2作為光束質量評價方法,即:

式中:Bpp為實際光參量乘積;Bpp00為高斯光參量乘積;光束質量因子M2表征實際光束相比衍射極限(基模高斯光束)的倍數,將基模高斯光束的束散角θ0=4λ/πω0及公式(4)代入公式(6),則可得:

式中:基模光束的束腰寬度ω0由LD的P-N結物理結構決定;θ對應實際光束的束散角。實際的LD輸出為多模激光束,包含更多的高階模分量,為提高其光束質量因子M2,文中通過透鏡增大光束的束腰寬度,減小束散角θ,同時在腰斑最小位置放置光闌濾除部分高階模分量。
2 提高功率密度的光束整形系統設計與仿真
2.1 光束整形系統原理框圖
根據LD光束特性以及光束評價質量標準,采用圖2所示的步驟提高功率密度的光束整形。

圖2 光束整形系統原理框圖
2.2 激光準直單元設計
由公式(1)可知,在瑞利距離處,高斯光束的腰斑半徑為束腰半徑的√2倍,實際使用中認為高斯光束在瑞利距離內可看作近似平行光,也稱瑞利距離為準直距離,因此通過透鏡變換增加高斯光束的束腰半徑,可以獲得較長的準直距離。
由于LD出射光束為橢圓形狀,文中提出一種X型柱面平凸透鏡結合Y型柱面平凸透鏡的方式進行準直。如圖3所示,首先對慢軸光束進行準直,光束橫截面形狀長寬比值為z軸坐標值的函數,在光斑長寬比最接近1的坐標處放置快軸準直透鏡,使準直后的光束能量均勻分布于光學元件中心。

圖3 柱面透鏡對LD光束準直示意圖
設圖3中X型柱面鏡為薄透鏡,焦距為fx,且焦點位于LD高斯光束的束腰位置,由公式(1)、(2)可得,在透鏡處的入射光束波前曲率半徑及腰斑半徑為:

又由透鏡對球面波(柱面波)的變換公式:

可得到經過X型柱面鏡準直后的出射光束的束腰半徑、束腰位置及束散角:

同理,對于Y型柱面鏡,可得準直后的出射光束的束腰半徑、位置及束散角:

由此可知對于柱面準直透鏡,焦距f越大,準直后的出射光束束腰半徑越大且束散角越小。為實現光束的進一步整形,應使得快軸、慢軸方向的光束在準直后束腰半徑、束散角盡可能相近,由公式(10)、(11)可得X、Y型柱面鏡的焦距關系需滿足:

同時要使X、Y方向準直后的出射光束束腰位置也盡可能接近,應滿足:

由公式(4)可知,透鏡焦距f越大,準直后出射光束的束散角越小,但同時入射光束在透鏡處的腰斑半徑越大,這使得透鏡的直徑和厚度增大,不再滿足薄透鏡假設,導致出射光束的球差增加,降低光束質量。文中根據經驗公式設置柱面鏡焦距和直徑,如柱面鏡高度可取為20~25mm、透鏡直徑的85%為光束有效準直范圍等。
2.3 激光擴束單元設計
準直單元改善光束的長寬比和平行度,但柱面透鏡尺寸較小,導致準直光束腰斑較小。根據2.1節光參乘積不變原理可知,準直光束仍存在束散角,為進一步壓縮準直光束的束散角,文中在準直單元后引入激光擴束單元。
激光擴束鏡按照組合透鏡類型分為兩種:開普勒式擴束鏡和伽利略式擴束鏡。如圖4(a)所示,開普勒式擴束鏡由一片輸入正透鏡和一片輸出正透鏡以共焦形式組合而成。如圖4(b)所示,伽利略式擴束鏡由一片輸入負透鏡和一片輸出正透鏡以虛共焦形式組合而成,輸入透鏡將虛焦點光束傳遞給輸出透鏡。

圖4(a)開普勒式擴束鏡;(b)伽利略式擴束鏡
對比兩種擴束鏡共焦方式:在開普勒式擴束鏡的焦點處增加針孔光闌,可濾除外界雜散光并截取光場能量的均勻部分,同時濾除LD光束中部分高階模分量,提高光束質量因子M2,而伽利略式擴束鏡的虛共焦方式導致其無法實現該效果。因此,文中選擇開普勒式擴束鏡進行激光擴束,如圖4(a)所示,柱面組合透鏡出射的準直光束以束散角θ0′、束腰半徑ω0′輸入擴束單元,束腰位置與輸入透鏡L1距離為l1,此時f1<<l1,由公式(8)可得L1的輸出光束為:

輸出透鏡L2的焦距為f2,其焦點位于ω0″處,由公式(8)可知,擴束單元輸出光束的束腰半徑及位置為:

開普勒式擴束鏡對光束的擴束倍率為:

式中:M=f2/f1;θ0′為入射光束發散角;θ0′′′為出射光束發散角;ω(l)為L1前表面光斑半徑。
2.4 激光聚焦單元
對激光束進行聚焦可在焦點位置得到高斯光束的最小腰斑,提高光束的功率密度。
對于給定的聚焦透鏡L3,設其焦距為f3,由公式(8)可得:

此時若滿足πω0′′′′2/λ>>f3,且l3>>f3,則可使用焦距較短的透鏡進行聚焦,在距離擴束單元出射光束束腰位置較遠的位置處,公式(17)可近似為:

將公式(18)代入激光功率密度公式:

即可求得整形后的激光功率密度。文中根據期望達到的功率密度范圍,逆向對聚焦單元、擴束單元和準直單元進行仿真和優化。
2.5 光束整形系統仿真及其結果
采用Light Tools軟件對光束整形系統進行仿真,以日亞NDB7K75型激光二極管為例,根據表1參數設置LD光源中心波長448nm,光束慢軸和快軸方向束散角分別為14°、46°,并根據實際功率需要設置光源出射功率為376mW。

表1 NDB7K75激光二極管參數
仿真時使用SIGMA KOKI公司生產的透鏡,表2列出了透鏡的參數,其中f為焦距,r為曲率半徑,A×B為柱面透鏡長×寬,D為球面透鏡直徑,te為透鏡邊緣厚度,tc為透鏡中心厚度。

表2 透鏡參數(參考波長546.1nm)
平凸透鏡無限遠共軛成像具有如下特點:(1)用于聚焦光線時,平行光從凸面一側入射,球差較小,成像更清晰,即焦點光斑較??;(2)把點光源變成平行光時,光線由平面一側入射可得到更高平行度出射光線。依據以上成像特點設定光路中各平凸透鏡放置方向。
調用仿真軟件內部聚焦、準直評價函數,將光學元件的坐標值添加為優化變量進行優化,結果如圖5所示,其中的黑色實線代表光線追跡效果,Lx和Ly透鏡分別為慢軸準直透鏡和快軸準直透鏡,二者組成準直單元,L1和L2組合為擴束單元,L3為聚焦透鏡。

圖5 光學系統空間坐標及光線追跡
圖6和圖7分別為LD光束經擴束單元擴束后在距離光源50cm和2500cm處的橫截面功率分布,光斑半徑分別為41、47cm,小于√2倍束腰半徑,處于瑞利距離,說明光束平行度得到進一步提高。如圖8所示,光束整形系統將LD光束功率匯聚于透鏡焦點處4mm直徑腰斑,說明激光功率密度得到提高。

圖6 擴束鏡出射光束在距離LD光源50cm處功率密度分布

圖7 擴束鏡出射光束在距離LD光源2500cm處功率密度分布

圖8 光束在匯聚透鏡焦點處功率密度分布
3 光束整形系統
實驗根據仿真優化的光學元件間距,搭建光路平臺進行實物驗證,如圖9所示,從左至右依次為LD驅動電源(通過調節驅動電壓可連續調節激光二極管輸出功率)、LD、慢軸準直柱面透鏡、快軸準直柱面透鏡、擴束單元入射透鏡、擴束單元出射透鏡及聚焦透鏡。

圖9激光二極管光束整形系統
LD如圖10(a)所示,其安裝了散熱銅柱并固定在俯仰角、方位角可調的夾持器上(見圖10(b))。

圖10 (a)半導體激光二極管;(b)裝配散熱銅柱及可調底座
圖11(a)、(b)分別為LD出射光束經過擴束單元后在50、2500cm處的光斑形狀,說明LD光束經過擴束后,平行度得到改善。

圖11 LD光束經準直及擴束后在(a)50cm和(b)2500cm處光斑形狀
實驗時,對LD加載4.0V的偏置電壓,使用激光功率計測量LD的輸出功率為376mW。為獲得光束整形后的功率密度,以光斑中心為圓心,測量不同直徑圓內多個點的激光功率并取平均值,通過差分計算出相鄰同心圓所形成的圓環內激光功率及圓環面積,二者求比值,得到不同圓環內的平均激光功率密度。文中測量的光斑直徑為1.00、1.25、1.50、1.75、2.00、2.25、2.50mm。圖12橙線為平均激光功率密度離散值所繪制的折線圖,其趨勢表明光斑半徑越大,激光功率密度越小。藍線為擬合離散數據,為高斯曲線,近似代表聚焦透鏡焦點處光斑功率密度的整體分布。圖13是不同光斑直徑下激光功率仿真結果(藍色曲線)與實驗結果(藍色折線)的對比,實驗結果與仿真結果基本吻合。紅色折線為不同直徑光斑內激光功率同二極管輸出總功率之比。由圖13可知,1mm直徑圓內激光功率為252mW,約占LD出射光束總功率的67%。說明光束整形系統在實現提高激光功率密度的同時具備較高的功率傳輸效率。

圖12 光束功率密度離散點擬合為高斯曲線

圖13 激光功率同光斑直徑函數關系
4 結論
提出并實驗驗證了一種提高激光功率密度的光束整形方法,使用準直、擴束及聚焦單元的設計思路,成功地將半導體激光二極管67%的能量匯聚于直徑1mm的圓內,激光功率密度優于30W/cm2。這說明文中設計的LD光學整形系統功率傳輸效率高,采用分立光學元件實現的光束整形系統結構簡單、易于搭建,具有較高的應用價值。
本文內容轉載自《紅外與激光工程》2019年第8期,版權歸《紅外與激光工程》所有。
辛光澤,陳東啟,蔡毅,白廷柱,王嶺雪
北京理工大學光電學院納米光子學與超精密光電系統北京市重點實驗室





