中心議題:
- 介紹基于MEMS的固態風速風向傳感器的設計原理及軟件模擬結果
- 設計MEMS固態風速風向傳感器的工藝流程
- 對設計的懸梁式測風傳感器進行測量
解決方案:
- 簡化所設計傳感器的模型,方便軟件模擬
- 通過正交的方法計算出風向
引言
風速及風向的測量是氣象觀測中重要的一環。風速風向可以基于流體力學原理、熱學原理、聲學原理和仿生學原理來測量。熱式測風儀基于風對熱體的對流作用來測量風速和風向,其存在一個精密的熱源,通過把兩對相對的熱源與熱電偶正交放置測量風向。超聲測風儀可以同時進行超聲波的發射和接收,基于多普勒效應測量風速,用三個或者四個探頭根據三角關系測量風向信息?;贛EMS技術傳感器有體積小、重量輕及成本低的特點,基于MEMS技術的風速和風向測量傳感器受到了研究者的重視。
本文介紹了基于MEMS的固態風速風向傳感器的設計原理及軟件模擬結果,并依據理論與模擬結果設計了工藝流程,對設計的懸梁式測風傳感器進行了測量。
傳感器原理
a.硅薄膜式傳感器原理
硅薄膜式測風傳感器的設計示意圖如圖1所示。薄膜式風速風向傳感器主要是利用風吹薄膜對薄膜產生風壓,風壓導致薄膜形變,薄膜上的應變電阻就會感應到薄膜的形變。通過測量應變電阻的變化即可解算出風速大小。設定測量時風正面吹向薄膜如圖2所示。

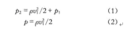
圖2中:υ1表示風的平均流速;p1表示風流的壓力;p2表示薄膜所受的壓力,應用流體力學中理想伯努力方程如式(1)。其中p為空氣的密度,化簡后可以得出薄膜承受絕對壓強p的變化與風速的關系如式(2),即

設W(x,y)是薄膜彎曲的撓度函數。由式(2)可以得出0~30 m/s風的壓強為0~580.5 Pa。在此范圍之內薄膜的撓度遠小于薄膜的厚度,故撓度可以近似計算為
W(x,y)=hf(p)cos2(πx/L)cos2(πy/L)(3)
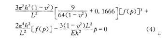
其中坐標系是平面直角坐標系,其原點是正方形薄膜中心,坐標軸平行于薄膜的邊。其中h和L分別是薄膜的厚度和邊長。f(p)是一個關于薄膜絕對壓強的函數。f(p)由方程(4)決定,即

p是作用在膜上的絕對壓強;E和υ分別為薄膜材料的楊氏模量和泊松比。材料的形變定義為單位長度材料的變化。設ε(x,y)是薄膜的應變函數,可以用式(5)來計算,則

薄膜上的應變電阻的形變與其所在的位置有關。定義h′為應變電阻的高度;W為應變電阻的寬度;x0,y0是應變電阻的起始位置,則可以得到應變電阻的總的形變,如式(6)。應變電阻的電阻歸一化變化表達式為

由式(2)可知p與速度υ的平方成正比,故可以得出電阻阻值的相對變化與風速是二次關系。風速信號解調出來后,通過正交封裝來解調風向信號。南北方向的傳感器測出南北方向的速度υns,東西方向的傳感器測出東西方向的速度υwe,通過正交關系式(9)和式(10)最終得出速度和風向值,即

b. 硅懸梁式傳感器原理
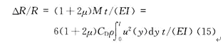
硅懸梁式測風傳感器的設計示意圖如圖3。懸梁式風速風向傳感器主要是利用風吹懸梁對懸梁產生力矩導致懸梁彎曲,懸梁上的應變電阻就會感應到薄膜的應變。通過測量應變電阻的變化即可解算出風速大小。測量時風流平均速度為u(y)。根據流體力學繞流阻力計算公式(11)。其中CD是繞流阻力因素取決于材料的形狀結構,ω是面向風速的懸梁寬度,ρ是空氣密度。通過公式(12)得到風對懸梁力矩的作用,其中l是懸梁的長度,y為懸梁長度方向,即

懸梁的應變通過式(13)來計算,E是楊氏模量,I是慣性矩。慣性矩計算公式是式(14),t是懸梁的厚度,ω是懸梁的寬度,則

應變電阻的阻值變化可用式(7)計算,即可得電阻變化的歸一化的表達式為

并可以得出電阻阻值的相對變化與風速是二次關系。和薄膜式傳感器一樣,可以通過正交二次集成的方法解算山風向的信息。
傳感器ANSYS CFD模擬
a.硅薄膜式傳感器模擬
為了方便軟件模擬,簡化了所設計傳感器的模型。薄膜的厚度取10μm,2000 μm×2000μm的正方形,空腔的厚度取330μm。圖4為帶有薄膜形變的ANSYS模型。薄膜的模型用Solid45,流體模型應用FLUID142,風速從0~30 m/s間隔變化。通過模擬得到了薄膜最大形變、最大應力與風速的關系曲線,見圖5。分析模擬所得的數據,可知薄膜撓度和剪切力都與風速成二次關系,與薄膜式傳感器的理論分析相一致。

b. 硅懸梁式傳感器模擬
所設計的懸梁式傳感器的模型為懸梁的厚度取10 μm,長度取1500 μm。采用二維ANSYS模擬。懸梁的模型用Solid42,流體模型應用FLUID141,風速從0~30 m/s間隔變化。圖6為帶有懸梁形變的ANSYS模型。通過模擬得到了薄膜最大形變、最大應力與風速的關系曲線,見圖7。

把模擬所得的數據進行分析,可知懸梁撓度、剪圖7切力都與風速成二次關系,與懸梁式傳感器理論分析相一致。
傳感器工藝流程、封裝及制作
a. 傳感器工藝流程設計
兩種傳感器擬采用基于MEMS的體硅工藝,應用正背面異向濕法刻蝕和背面深刻蝕形成薄膜或懸梁。薄膜設計為10μm厚,200 μm×2000 μm的正方形;懸梁設計為10μm厚,1500 μm長,500 μm寬。采用雙面拋光n型(76 mm)100硅片厚度350 μm。硅片清洗后,用熱氧化工藝制作一層氧化硅,再用LPCVD工藝制作一層氮化硅;之后濺射Pt電極,采用lift-off工藝去掉不需要的Pt金屬。完成以上步驟后,薄膜式傳感器直接在背面腐蝕形成薄膜,完成傳感器的制作;懸梁式傳感器需要先在正面腐蝕出10μm的深坑,后在背面先濕法腐蝕5 h深度達到200μm,再深刻蝕直到出現圖形。其過程如圖8。

b.傳感器封裝設計
測風傳感器通過正交的封裝測量風向信息。正交封裝示意圖如圖9所示。

通過用風向信息解算公式(9)和(10),即可得出風向信息。
c. 傳感器制作
依據所設計的原理及工藝流程,首先制作了懸梁式測風傳感器如圖10所示。傳感器為雙懸梁結構,通過惠斯通電橋輸出傳感器測量信號,其測試圖如圖11所示。

傳感器經小型風洞測試后得出,其一致性很好。轉動傳感器,其輸出信號有變化,這說明可以通過正交的方法計算出風向。
結 論
本論文推算了兩種風速風向傳感器的理論,并進行了基于理論的軟件模擬,設計了傳感器工藝制作流程和封裝,對按照本文中所設計的理論與原理制作的硅懸梁式傳感器進行了實際測量。傳感器可以很好地感應風速的變化,根據輸出電壓隨著傳感器旋轉的變化,可以計算出風向。





