【導讀】使用運算放大器反饋和電壓基準可以簡單直接產生任意大小的直流電流。 本篇文章將討論一種大大簡化的實現灌電流(具體)的方法。
使用運算放大器反饋和電壓基準可以簡單直接產生任意大小的直流電流。 本篇文章將討論一種大大簡化的實現灌電流(具體)的方法。
本文我們將討論利用電壓基準內部反饋的架構,讓我們從考慮電壓基準的符號及其實際功能框圖開始,如下圖1所示。
圖1:電壓基準及其功能框圖
我們借用了齊納二極管的符號,因為這基本上是電壓基準的行為;然而,這種行為是通過巧妙的設計而不是簡單的設備物理單獨實現。考慮在以前文章中使用的自身基準(負極基準綁定)配置,如下面的圖2所示。

圖2:電壓基準典型操作
那么,我們如何評價這一設置?首先,我們可以大大簡化和定義圖2中所有電流的情況,如公式1所示。

也就是說,IBIAS是雙極結型晶體管(BJT)的運算放大器靜態電流IQ和發射極電流iE的和。公式2通過確認與正常工作期間的發射極電流相比運算放大器靜態電流可以忽略不計,進行了進一步簡化。
公式3和4定義了發射極電流,以基極-發射極結的二極管方程開始,并假定使用標稱理想因子的正向偏置操作。

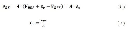
如上述公式4所示,必須存在一些基極-發射極電壓以維持IBIAS。這當然意味著在圖2中的vref和VREF之間存在非零差;我們將通過在公式5中以VREF和小的擾動電壓εv定義vref來解釋這一點。

我們現在可以用基極-發射極電壓和運算放大器增益定義εv,如公式6和7所示。

顯然,在理想運算放大器情況下,εv會下降到零;然而,讓我們考慮一些非常保守的值。下面的公式8解出公式7,假設維持IBIAS所需的vBE為0.5V,運算放大器的增益為中等水平104。

對于1.25V電壓基準,這表示百萬分之四十或40ppm的誤差——也就是說,這種誤差可以安全地視為可以忽略。
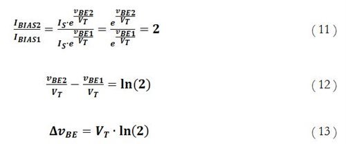
現在考慮當我們增加輸入電壓以及IBIAS時,εv發生什么;具體而言,假設我們從公式9和10所示的某個任意操作點將IBIAS增加一倍。

現在可以通過將公式10除以公式9并在公式11至13中簡化如下的項來導出支持加倍IBIAS所需的VBE的變化。

最后,我們可以導出如公式14和15所示的支持倍增IBIAS所需εv的變化的公式。

代入熱電壓的室溫值VT,并假設(再次)平均運算放大器增益為104,我們可以求解方程式15得到倍增IBIAS所需的Δεv的保守值,得到下面的公式16。

在這種情況下,每當IBIAS加倍時,vref處的電壓僅增加1.792μV。這是運算放大器增益與模擬齊納擊穿基極-發射極二極管的指數IV特性的乘積。
以不同方式連接電壓基準,我們可以利用其內部運算放大器產生簡單的拉電流,如下面的圖3所示。

圖3:簡單電壓基準產生的拉電流
為了直觀的了解這里發生了什么,我們考慮插入代替符號的功能圖,如下面的圖4所示。

圖4:簡單灌電流功能圖
請注意,VIN、RBIAS和BJT電路基本上充當運算放大器的反相輸出級。因此,我們可以將總組合簡化成具有新增益AT和反向輸入極性的新運算放大器符號,如圖5所示。

圖5:簡單拉電流功能框圖和等效電路





