【導讀】在本電源設計小貼士以及下次的小貼士中,我們將研究一種估算熱插拔 MOSFET 溫升的簡單方法。熱插拔電路用于將電容輸入設備插入通電的電壓總線時限制浪涌電流。這樣做的目的是防止總線電壓下降以及連接設備運行中斷。
通過使用一個串聯組件逐漸延長新連接電容負載的充電時間,熱插拔器件可以完成這項工作。結果,該串聯組件具有巨大的損耗,并在充電事件發生期間產生溫升。大多數熱插拔設備的制造廠商都建議您查閱安全工作區域 (SOA) 曲線,以便設備免受過應力損害。圖 1 所示 SOA 曲線顯示了可接受能量區域和設備功耗,其一般為一個非常保守的估計。MOSFET 的主要憂慮是其結溫不應超出最大額定值。該曲線以圖形的形式向您表明,由于設備散熱電容的存在它可以處理短暫的高功耗。這樣可以幫助您開發一個精確的散熱模型,以進行更加保守、現實的估算。

圖1 MOSFET SOA曲線表明了允許能耗的起始點
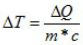
在【電源設計小貼士9】中,我們討論了一種電氣等效電路,用于估算系統的散熱性能。我們提出在散熱與電流、溫度與電壓以及散熱與電阻之間均存在模擬電路。在本設計小貼士中,我們將增加散熱與電容之間的模擬電路。如果將熱量加到大量的材料之中,其溫升可以根據能量 (Q)、質量 (m) 和比熱 (c) 計算得到,即:
能量正好是功率隨時間變化的積分:
然后合并上述兩個方程式,我們得到我們的電容散熱模擬 (m*c) 如下:
表1列出了一些常見材料及其比熱和密度,其或許有助于建模熱插拔器件內部的散熱電容。

表1 常見材料的物理屬性
只需通過估算您建模的各種系統組件的物理尺寸,便可得到散熱電容。散熱能力等于組件體積、密度和比熱的乘積。這樣便可以使用圖 2 所示的模型結構。
該模型以左上角一個電流源作為開始,其為系統增加熱量的模擬。電流流入裸片的熱容及其熱阻。熱量從裸片流入引線框和封裝灌封材料。流經引線框的熱量再流入封裝和散熱片之間的接觸面。熱量從散熱片流入熱環境中。遍及整個網絡的電壓代表高于環境的溫升。

圖2 將散熱電容加到DC電氣模擬
熱阻和熱容的粗略估算顯示在整個網絡中。該模型可以進行環境和DC模擬,可幫助根據制造廠商提供的SOA曲線圖進行一些保守計算。





