【導讀】了解退化分量的絕對影響和相對影響有助于確定限制SuperFlash耐擦寫次數的最關鍵因素,進而對單元工藝和/或工作條件做出相應的優化。故本文提出了一種簡單快速的方法來分析SuperFlash分離柵極存儲單元中循環擦寫引起的退化分量。
SuperFlash®技術基于分離柵極概念,廣泛用于獨立和嵌入式NOR閃存產品。與其他競爭解決方案相比,SuperFlash的主要優勢包括:因采用較厚的隧道電介質層而具有卓越的可靠性、不存在過擦除問題并且設計簡潔。與其他基于浮置柵極(FG)的存儲器類似,SuperFlash的耐燒寫-擦除次數受燒寫和擦除期間電介質層中電子俘獲引起的工作窗口關閉的限制。在SuperFlash單元中,擦除和燒寫期間會在隧道氧化層和FG氧化層這兩個不同的物理位置發生電子轉移。這兩個區域中俘獲的電子會使單元工作窗口在燒寫-擦除周期后縮短。了解這兩個退化分量的相對貢獻對于優化單元的技術和工作條件極其重要。我們提出了一種簡單快速的方法,能夠分離出SuperFlash單元中循環擦寫引起的退化分量。

1 第3代SuperFlash存儲單元的結構和典型工作條件。圖中給出了兩個共用源極和擦除柵極的單元。圖中用箭頭指示燒寫(單元1)和擦除(單元2)期間的電子轉移情況。WL為字線(選擇柵極),CG為耦合柵極,EG為擦除柵極,FG為浮置柵極。
SuperFlash單元中循環擦寫引起的退化分量
圖1給出了第3代SuperFlash單元[3]的結構和典型工作條件。此單元使用源極側的熱電子注入進行燒寫,使用針尖增強的多晶硅到多晶硅電子隧穿進行擦除。通常,SuperFlash單元的耐擦寫次數受擦除側工作窗口關閉的限制[4],表現為已擦除狀態下單元閾值電壓Vte的增大(圖2)。本技術中未觀察到與單元相關、循環擦寫引起的燒寫故障:單元在已燒寫狀態下的Vt(Vtp)保持相對不變,或隨循環擦寫次數而略微增大。圖3給出了主要的循環擦寫引發機制,它們負責確定單元“0”-“1”工作窗口的行為。

圖2 已擦除狀態下單元閾值電壓(Vte)和已燒寫狀態下單元閾值電壓(Vtp)的循環擦寫過程示例

圖3 循環擦寫引發機制對單元工作窗口的影響
在燒寫-擦除循環期間,一些電子被俘獲到FG下面的氧化層(FG氧化層)和隧道氧化層中。圖3的插圖中分別用1和2標出了電子俘獲區域的位置。擦除期間隧道氧化層(位置1)中俘獲的電子會增加后續隧穿的位壘并降低隧穿效率,這將導致單元的Vte增大[5]。燒寫期間FG氧化層(位置2)中俘獲的電子對單元的工作窗口具有雙重影響。首先,它會使FG“原生Vt”增大,進而使單元的Vte和Vtp都增大。其次,它會降低燒寫效率,從而導致Vtp減小。因此,這兩種循環擦寫引起的電子俘獲分量均會導致Vte退化(增大),而Vtp過程則受兩個作用相反的機制影響。在擦除電壓范圍內,燒寫-擦除循環導致擦除期間的EG電壓(Verase)增大,這是達到特定讀取電流值的必要條件,相關示例請參見圖4。擦除期間,隧穿電流為常量,Verase等于

圖4 循環擦寫前和循環擦寫后單元的讀取電流與擦除電壓的關系(累積擦除和固定擦除時間)示例
[page]
其中,FTV為EG-FG電壓差,FGVt為原生FG閾值電壓,φ0為讀取條件下“超出”FG Vt的FG電勢(達到特定讀取電流的必要條件);CR為EG-FG電容耦合系數。從(1)可以看出,隧穿電壓FTV或FGVt的增大對Verase具有類 似的作用。上述兩個擦除退化分量的相對貢獻取決于許多因素,包括單元的工作和循環擦寫條件、單元的幾何形狀和工藝過程的參數等。了解主要退化機制對于優化 單元工藝和工作條件非常重要,目的是增加SuperFlash的耐擦寫次數。

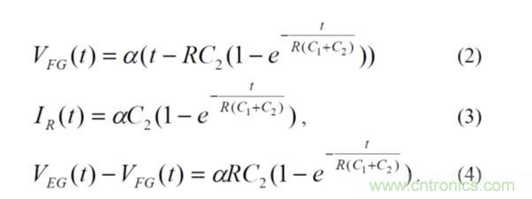
圖5 單元的電容-電阻圖及其等效電路

圖6 FG電壓和EG電壓、EG-FG電壓差以及流經電阻R的電流的時序圖,對應于公式(2)-(4)
方法說明
要分離FG氧化層和隧道氧化層退化對觀察到的擦除速度下降情況的影響,需要一個工具來探測循環擦寫引起的原生FG Vt的變化,而不是直接測量浮置柵極。如上所示,Vtp或Vte過程中包含多個分量,無法用于得出關于FG Vt變化的可靠結論。早期提出了一種利用經UV照射后的單元的中性狀態來監視FG溝道退化狀態的方法[6],但這種方法并非始終適用于采用致密金屬布局的現代化大規模FG單元;UV擦除還需要特殊的晶圓生產工藝,并可能導致一些電子逃逸,從而影響測量結果。我們提出一種新的快速、非破壞性的電氣方法,這種方法基于隧穿電流穩定性在向擦除柵極施加線性斜坡電壓時的作用[7,8]。
![(a) VEG線性斜坡期間的EG電壓和FG電壓圖;(b) VEG正向變化(曲線1)和反向變化(曲線2)期間測量的單元電流。曲線3顯示了在直接接觸FG的單元上測量的Id-VFG參考特性(來自[3])。在A-B和C-D區域中,EG-FG電壓差小](/editorfiles/20150724215133_3088.jpg)
圖7 (a) VEG線性斜坡期間的EG電壓和FG電壓圖;(b) VEG正向變化(曲線1)和反向變化(曲線2)期間測量的單元電流。曲線3顯示了在直接接觸FG的單元上測量的Id-VFG參考特性(來自[3])。在A-B和C-D區域中,EG-FG電壓差小于對應的隧穿電壓,FG電勢由EG-FG靜電耦合控制。
[page]
圖5顯示了SuperFlash單元的簡化R-C圖及其等效電路。其中,C1為EG-FG電容,C2為總FG電容與CFG-EG的差值,R為有效隧穿電阻。VEG線性斜坡(VEG=αt)和歐姆電阻R組成的等效電路中的瞬變具有簡單的閉環解決方案:

隧穿電流IR和EG-FG電壓差均達到其穩定值(分別為αC2和αRC2),時間常量為R(C1+C2),請參見圖6。對于隧穿I-V特性曲線為任意形狀的實際FG單元,穩定后的隧穿電流值相同(αC2),穩定后的VEG-VFG之差對應于隧穿I-V曲線中的某個點。這種情況下的時間常量由隧穿I-V特性的差分電阻定義。
圖7(a)顯示了使用非歐姆隧道電阻時施加的EG電壓和FG電勢的時序圖。為監視VEG變化期間FG電勢的變化情況,WL溝道需保持開路(3V),并向漏極施加一個較小的正向偏置電壓(見圖7(a)中的插圖)。起點為單元的已編程狀態(A點,FG負電勢)

圖8 不同VEG擺幅下測量的FTV-RTV遲滯回路。曲線1(±10V),曲線2(±11V)。曲線6(±15V)。箭頭指示EG電壓斜升的方向。曲線1說明了相對較淺擦除狀態作為起點時的情況:隧穿開始前,FG溝道由EG-FG電容耦合關斷。
在A-B間隔內,FG電勢因EG-FG電容耦合而增加,即,它以低于EG電壓的速率增大;這樣便產生了EG-FG電壓差。一旦此壓降增大至足以啟動FG至EG(B點)的電子隧穿,EG-FG電壓差和隧穿電流都將保持穩定。VEG反向變化期間也會出現類似效果。VEG線性斜坡期間,當隧穿電流保持穩定時,EG-FG電壓差也會處于穩定狀態,這樣,FG電勢便會直接跟隨施加的EG電壓并帶有一些偏移量。當VEG為正時,FG電勢等于正向隧穿電壓(FTV);當VEG為負時,FG電勢等于反向隧穿電壓(RTV)(圖7(b))。在穩定隧穿狀態下,由于EG電壓的任何增量都會直接傳遞給FG電勢的變化,因此測量的Id-VEG曲線的形狀與Id-VFG特性曲線的形狀相同,此特性曲線可在直接接觸浮置柵極的單元上測量(圖7(b)中的曲線3)。
[page]
我們最初使用上述方法來研究SuperFlash 單元中正向和反向EG-FG隧穿的不對稱性[3]。FTV-RTV不對稱性(FTV 《 RTV)表示擦除期間在FG尖端發生電子隧穿。反向隧穿很可能發生在不同位置,因為FG尖端附近EG處的電場弱于FG-EG側壁處的電場。由于隧道氧化層中的各區域(正向隧穿和反向隧穿期間會在其中發生電子轉移)不同,因此常規燒寫-擦除循環后的FTV往往會因隧道氧化層中發生的電子俘獲而增大,而RTV則保持相對不變。如果VEG的范圍寬到足以確保在VEG三角形范圍的極點處進行單元深度擦除和燒寫,則Id-VEG遲滯回路正向側和反向側的X軸位置對FG上的初始電荷量不敏感(圖8),并且僅由FTV/RTV和FG Vt值定義。當因FG氧化層中發生燒寫引起的電子俘獲而使FG Vt增大時,回路兩側均會右移相同電壓。回路右側(FTV)也會因隧道氧化層中的電子俘獲而移向更高的電壓。

圖9 循環擦寫后FTV-RTV遲滯回路偏移示例:(a) 未優化的編程條件,FG溝道顯著退化;(b) 優化了工藝和工作條件,FG溝道和隧道氧化層略微退化;(c) 以VEG=±12V進行循環擦寫,無溝道退化,因此,假設RTV不隨循環擦寫變化,循環擦寫引起的反向特性正移(圖7(b)中的曲線2)表示第一個退化分量(FG氧化層Vt增大),而正向側的偏移(圖7(b)中的曲線1)表示FG氧化層和隧道氧化層退化的聯合作用。
實驗數據和討論
前幾代SuperFlash技術依靠源極-FG電容耦合來提供必要的高FG電勢,從而實現高燒寫效率[1]。如果燒寫期間的SL電壓較高(8V-10V),則熱電子會引起FG氧化層發生顯著退化。在第3代SuperFlash單元中,由于存在額外的耦合柵極(CG),因此可將編程期間的SL電壓降至4V-5V,從而明顯減少編程引起的FG氧化層退化。通常,我們在隧道氧化層中觀察到的電子俘獲是循環擦寫引起的擦除退化的主要因素,FG氧化層退化只起到很小的作用。如果FG氧化層發生明顯退化,則可能表示FG氧化層的質量欠佳或未采用優化的燒寫條件。圖9給出了循環擦寫前和循環擦寫后FTV-RTV遲滯回路在不同退化分量比率下的示例。圖9(a)顯示了采用未優化編程條件(導致FG溝道發生顯著退化)時的效果,這一因素占總擦除性能退化的30%。圖9(b)給出了FG溝道略微退化的示例,FG Vt的變化約為0.1V。圖9(c)說明了使用EG-FG正向和反向隧穿時單元的循環擦寫情況。在這種情況下,FG氧化層不退化,遲滯回路偏移的原因是循環擦寫引起FTV和RTV值增加。
總結
我們提出了一種簡單快速的方法來分析SuperFlash分離柵極存儲單元中循環擦寫引起的退化分量。本方法基于隧穿電流穩定性在向擦除柵極施加線性斜坡電壓時的作用。通過這種方法,可以快速分離FG溝道和隧道氧化層退化對單元擦除性能總體退化的影響。了解退化分量的絕對影響和相對影響有助于確定限制SuperFlash耐擦寫次數的最關鍵因素,進而對單元工藝和/或工作條件做出相應的優化。



